0
svar
72
visningar
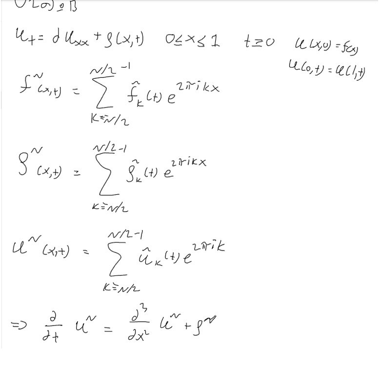
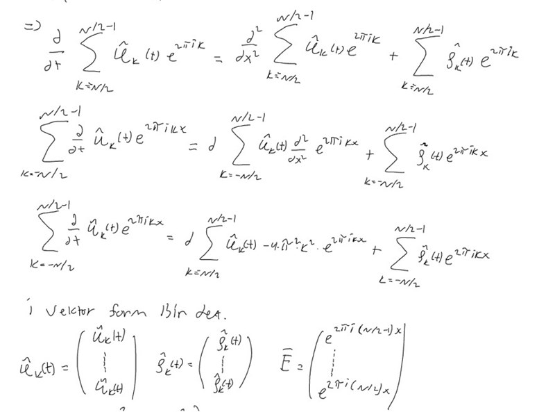
Fourier-expansionerna till termvisa diff-ekvationerna för fourierkoefficienterna
Hej!
Jag behöver lite hjälp med en härledning. Som ni ser på bilden har jag kommit fram till en likhet med summor och sedan ställt upp en differentialekvation som gäller för ett specifikt valt värde av k. Enligt föreläsaren har jag kommit fram till rätt diffekvation i slutet men jag hade inte beskrivit mitt härledning tillräckligt noga. Enligt honom kan jag inte bara göra om summorna till en vanlig diff för varje k, utan det finns något annat som gör att diffen i slutet stämmer. Men fattar inte vad det skulle kunna vara?? Tack för hjälpen på förhand!


