5 svar
240 visningar
EmmaTheDilemma behöver inte mer hjälp
EmmaTheDilemma 63
Postad: 1 jun 2023 14:16

Fourier norm

Hej! Jag hänger inte riktigt med när hon (min professor) säger "norm", när jag söker på det så får jag mina beräkningar till något annat

Tomten 2053
Postad: 1 jun 2023 15:53

En norm är att betrakta som ett avstånd mellan objekt i ett rum. Om rummet har en norm säger man att det är normerat. Det vanliga absolutbeloppet är ett exempel på en norm på R alternativt C. Men om det inte är tal utan funktioner i rummet och man vill bestämma "avstånd" så måste man definiera detta och det kan ske på olika sätt så att man kan få olika sorters normer. För att vara en norm krävs det att

Norm(f)>=0

triangelolikheten är uppfylld

att Norm(t f) = t Norm (f), där t är en skalär

att Norm(f)=0 ==> f=0.

Det exemplet som du visar ovan ser ut att vara den s k l2-normen ("lilla l2) av en funktionsserie. I den vänstra delen verkar man ha "glömt" rotmärket och utan det är det ingen norm, t ex skulle den sakna den tredje egenskapen ovan. Kanske därför man kallar den för "Fourier-norm". Din definition ser OK ut fram till och med tredje raden. Sen klarar jag inte riktigt av att se vad du gör, men det kanske inte spelar någon avgörande roll.

EmmaTheDilemma 63
Postad: 2 jun 2023 15:59

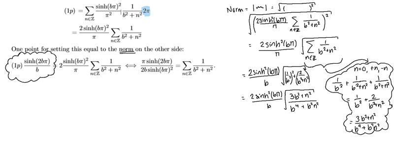
Tack för feedback - praktiskt taget är jag fortfarande osäker hur jag ska gå till. Om någon har lust att visa stegen för att komma fram till sin(2*b*pi)/b är jag enormt tacksam!

Tomten 2053
Postad: 2 jun 2023 18:22

Ditt senaste sin-uttryck ska väl vara ett sinh-uttryck (eller är jag helt galet ute)? Sinh är inte detsamma som sinus för h. Det är funktionen "sinus hyperbolicus". (Av någon för mig okänd anledning verkar just britter mer intresserade av sinh än andra).

Är det du skriver inom det lilla "molnet" ett försök att summera termerna 1/(b2 +n2) för n tillhörande Z? Summan är känd, men ointressant i sammanhanget. Det torde räcka med att konstatera att serien i fråga är absolutkonvergent och termerna är symmetriska m a p variabeln n.

På vänster sida står "(1p)=.... " Så brukar man skriva när man har ett långt uttryck som man inte vill upprepa. Men vad är det för uttryck?

EmmaTheDilemma 63
Postad: 2 jun 2023 19:31

AH JAG LÖSTE DET haha, det var ett dummt misstag. Jag ser att man inte ska ta normen av det jag försökte lösa ovan, men bara göra ||respektive f for FS som ser liknande det i summan||^2. Jag postar det jag höll på skriva ändå ifall det är av intresse. 

---

ah sin var en typo - menade skriva sinh!
mh till (1p) menar hon att man får en poäng till på tentan om man har kommit så pass långt. Jag bifogar hela frågan ifall det hjälper med kontext.

 

 
Yepp, molnet är mitt försök på det som du skriver. ok, det är ointressant - så vad gör man av det då? "absolutkonvergent" och "symmetriska" ska innebära vad för beräkning då? 

----

sedan hittade jag som kom till följd av din hjälp så nu vet jag hur jag bör hantera en sådan fråga i framtiden. 

Tack för hjälpen!!

Tomten 2053
Postad: 2 jun 2023 22:41

Även en hjälpare kan behöva lite tur ibland.

Svaret brukar vara ointressant i sådana här utredningar, så därför utgick jag från detta här också ovetande om att uppgiften denna gången faktiskt var att ta fram summan. Någonstans i bakhuvudet har jag fått för mig att sådana summor kan beräknas med mer elementära metoder än analys i L2, men det kanske kommer i en annan tråd.

Svara
Close