Fourier transformen
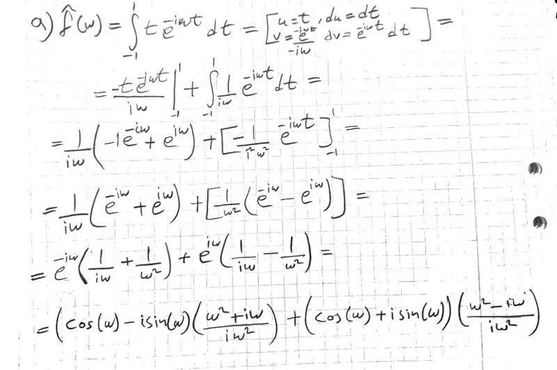
Jag är på a) och undrar om det duger så som jag svarat. I facit står det:


Det går ju att förenkla.
Från tredje raden nerifrån så kan du skriva om det som
genom att para ihop lämpliga uttryck av exp(iω) och exp(-iω).
Tillägg: 7 jan 2024 19:48
Är det knas med något tecken någonstans?
Okej, ja, jag tror att det kan finnas ett tecken som är fel någonstans... försökte förenkla och bytte ut m.h.a Eules formel men det gav inget, så någonstans är det fel.
Tre minustecken på en term och ett på en annan.
OK! Där ser man. Jag är bara rostig asså. Tack Dr. G
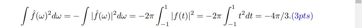
Glömde uppgift b) Hur gör man där nu igen? Är det Parsevals formel?
Ja, det är väl här betydligt smidigare att integrera i t-domänen.
Tillägg: 7 jan 2024 20:58
Fast då ska det väl vara integral av |F(ω)|2?
Inget absolutbelopp i ditt fall.
Dr. G skrev:Ja, det är väl här betydligt smidigare att integrera i t-domänen.
I facit står det så här. Varifrån kommer ?

2π är en skalfaktor som beror på hur fouriertransformen är definierad. I ditt fall verkar du ha skalfaktor 1 när du integrerar i t-domänen. Då är skalfaktorn 1/(2π) för inverstransformen.
Det blir då även här en faktor 2π på Parseval.
Steg 1 i facit är dock inte uppenbart för mig.
Hade uppskattat om du kunde visa lösningen, då jag inte förstår facits och i boken står det inte mycket om hur integralen i din formen kan beräknas.
Det är nåt trick de använder för det första steget i likheten där de byter kvadraten mot kvadraten på absolutbeloppet och ett minustecken som jag inte ser varifrån det kommer.
För att beräkna behöver du det komplexa konjugatet av och från uppgift a) inser du enkelt att (flippa bara tecken på i som vanligt vid konjugering).
Aha, uttrycket är ju rent imaginärt, missade det!