2
svar
71
visningar
fner behöver inte mer hjälp
Fourierserie för f(x)=-1
Jag har från uppgiften att på intervallet [0,π].
För att hitta Cn vill jag använda det generella uttrycket för f(x)=-1.
Jag tänker att det blir (eftersom sinus är en udda funktion) .
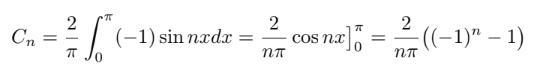
I lösningsförslaget står det däremot:

Var tänker jag fel? Är det så att f(x)=-1 är udda och att då blir jämnt? Hur vet jag i så fall att f(x)=-1 är en udda funktion?
Någonstans bör det framgå hur funktionen beter sig utanför [0,π].
Det gör det inte. Detta är endast ett steg i att bestämma u(x,t) i följande problem:
