2
svar
71
visningar
klockan123 behöver inte mer hjälp
Fourierserie hjälp mig hitta felet i min uträkning
Hej, svaret på frågan nedan ska vara . Men jag får .


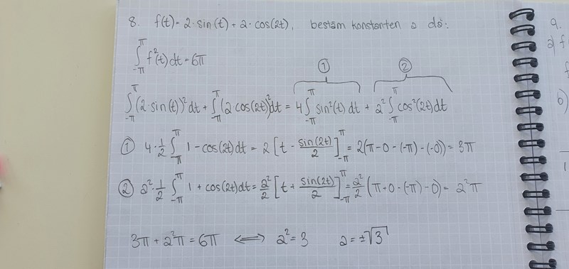
OBS: jag skriver a på detta sättet, därför kan dom ibland se ut som 2or, så ha det i baktanken.
På raden som markerats med en inringad etta står det sist av allt:
2*(pi-0-(-pi)-(-0))= 3*pi
Jag vill få den uträkningen till:
2*(pi+pi)=2*2*pi=4*pi.
Bedinsis skrev:På raden som markerats med en inringad etta står det sist av allt:
2*(pi-0-(-pi)-(-0))= 3*pi
Jag vill få den uträkningen till:
2*(pi+pi)=2*2*pi=4*pi.
Ja men där var felet! Stort tack för hjälpen!