Fourierserie, integral på komplex form
Hej, jag har problem med att beräkna ut konstanterna i denna trigonometriska fourierserie på komplex form.
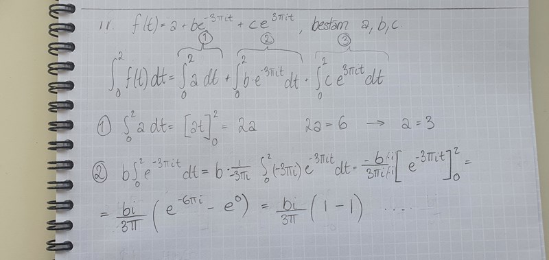
Behöver hjälp med konstant b, kan säkert klura ut c efter att ha fått hjälp med b.
Rätt svar:



Ebola skrev:Viggonator skrev:Jahaaa, jag försökte bara ge en liten ledtråd, man får ju trots allt inte ge hela svaret. Om du vill ha ett litet tips till, så finns det en formel till
annars kan du ju göra uppgiften fast med exponentiella fourierserier och sedan konvertera koefficienterna till trigonometriska koefficienter.
Båda står i formelsamlingen.
En fråga till dig klockan. Varför skriver du att 2a = 6 baserar på att när det är som är lika med 6. De andra termerna ska bli noll om du integrerar allt. Det är termvis du bör titta.
För att det i uppgiften står:
Och hur menar du med kolla termvis? Är det inte det jag gör redan när jag har delat upp integralen i tre?
klockan123 skrev:För att det i uppgiften står:
Och hur menar du med kolla termvis? Är det inte det jag gör redan när jag har delat upp integralen i tre?
Du har att . Om du tittar termvis ser du för varje likhet att eftersom
får du ut konstanterna enkelt som:
Ebola skrev:Du har att . Om du tittar termvis ser du för varje likhet att eftersom
får du ut konstanterna enkelt som:
Okej, jag förstår inte riktigt vad du menar. Hur blir inte b och c 0 om ?
klockan123 skrev:Okej, jag förstår inte riktigt vad du menar. Hur blir inte b och c 0 om ?
Därför att du exempelvis har:
Eftersom du vet att integralerna enligt ovan är noll får du enbart kvar:
Ebola skrev:Därför att du exempelvis har:
Eftersom du vet att integralerna enligt ovan är noll får du enbart kvar:
Jaha, jag ska använda potenslagarna.
Tack så mycket för hjälpen, nu förstår jag hur jag ska göra uppgiften!
Tråden rensad på trollinlägg och inlägg som blir OT i samband med att dessa inlägg togs bort.
/Mod