Så du kommer (nästan) fram till att den jämna cosinusexpansionen på intervallet har koefficienterna
Hur går du från det till :

för och
Vilket leder till det ganska menlösa resultatet
På intervallet
D4NIEL skrev:
Så du kommer (nästan) fram till att den jämna cosinusexpansionen på intervallet har koefficienterna
Hur går du från det till :

för och
Vilket leder till det ganska menlösa resultatet
På intervallet
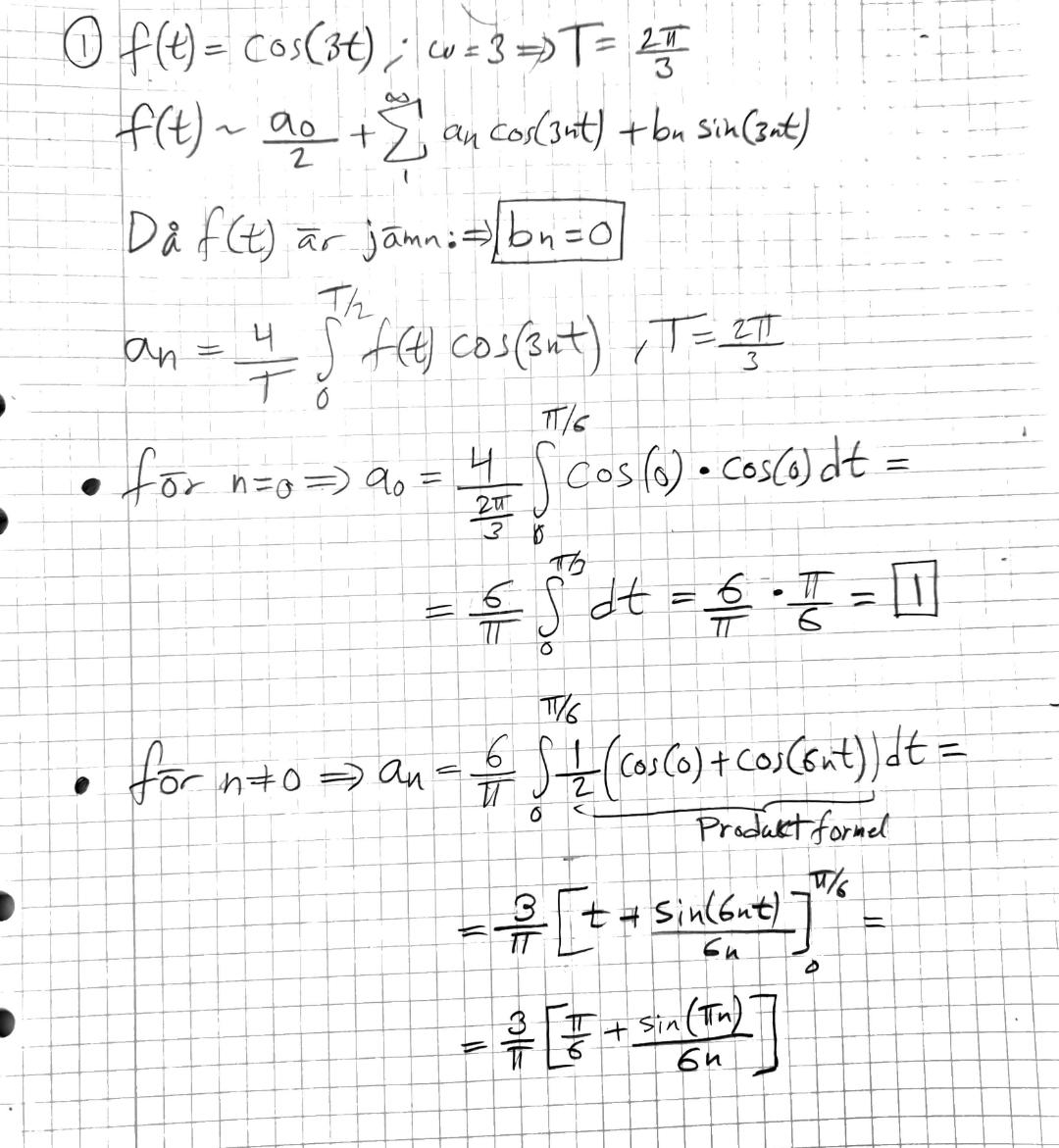
Jag skriver om med hjälp av produktformlerna så att jag kan integrera. Och jag får också (notera att jag skriver rätt övregräns på andra raden i min bild).
Resten av det du skriver förstår jag inte hur du kom fram till.
Tex är för , hur och varför?
Det blir ju inte ?
T.ex. för gäller alltså