0
svar
95
visningar
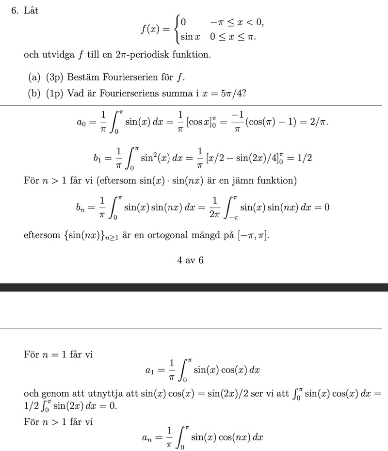
Fourierserier
Hej, hur vet jag när jag behöver undersöka konstanterna a1 och b1 i en fourierserie? 
Tycker fourieserier är knepiga som dem är och detta skulle inte vara något jag kom på själv.
Tacksam för hjälp :)