3
svar
215
visningar
Micimacko behöver inte mer hjälp
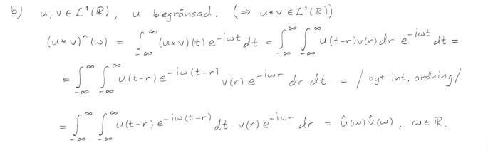
Fouriertransform av faltning
På vilket sätt spelar det ngn roll att u är begränsad? Vad hade hänt annars?


Eftersom faltningen är kommutativ, borde man även kräva begränsning på v. Detta är ju redan ordnat, eftersom
innebär att
samt .
Kontentan är:
Du kan inte byta integrationsordning hur som helst. När du byter ordning använder du dig i själva verket av Fubinis sats, som säger att man kan byta integrationsordning så länge integralen av integrandens absolutbelopp är begränsad. Du måste alltså egentligen visa att integralen:
är begränsad innan du byter integrationsordning. Detta gör du förslagsvis genom att du vet att , och även enligt dr_lund:s resonemang, är begränsade.
Tack :)