Fouriertransformation
Har precis börjat en kvantmekanikkurs och som introduktion till den matematik som kommer användas under kursen har vi börjat gå igenom lite Fouriertransformationer.
Har fastnat på en fråga där jag inte riktigt förstår vad de menar.
Här nedan kommer två bilder, en på frågan och en på där jag har försökt lösa den.
Är osäker på om jag förstår vad de menar.
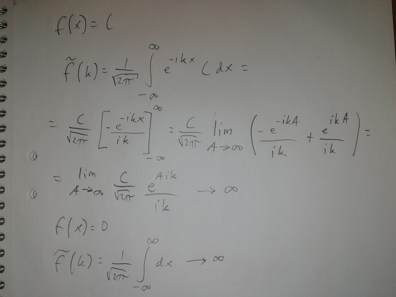
Det är frågan i första boxen här nedan.


Vrid bilderna rätt. Du kan editera dina inlägg i 2 timmar.
joculator skrev:Vrid bilderna rätt. Du kan editera dina inlägg i 2 timmar.
Done!
Funktionen är 0 när |x| > a. Mellan vilka x behöver du då integrera?
Dr. G skrev:Funktionen är 0 när |x| > a. Mellan vilka x behöver du då integrera?
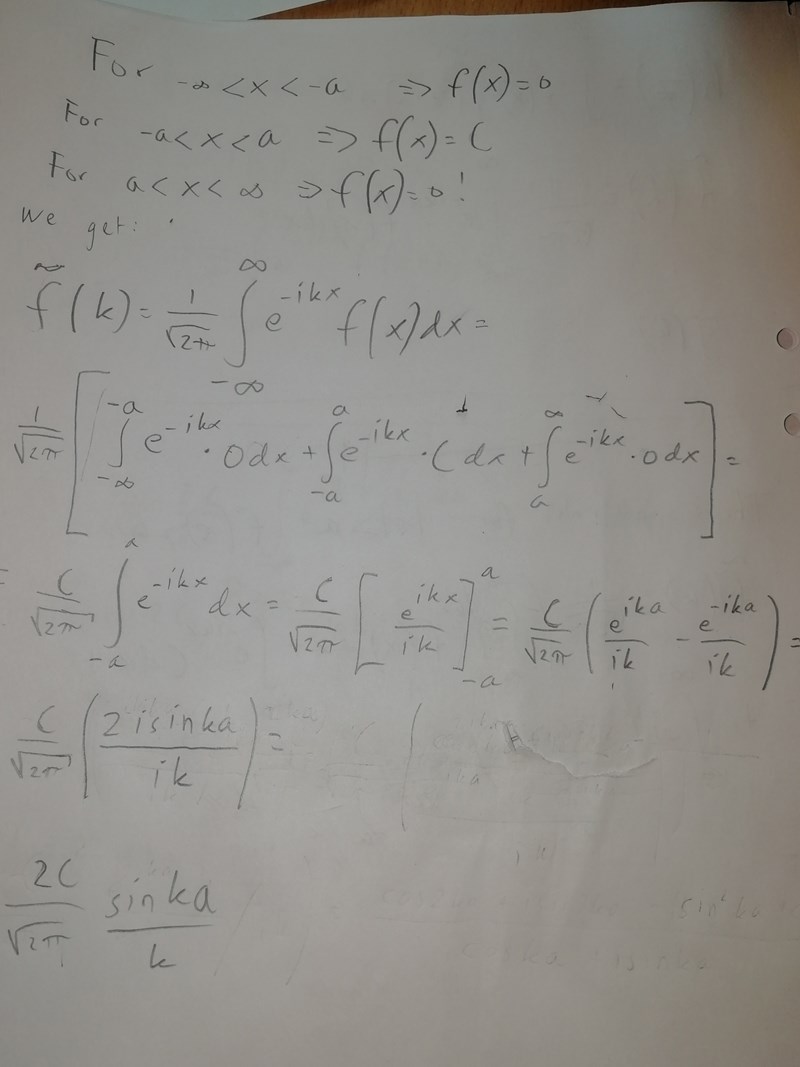
Tack, den vägledningen hjälpte mig. Fick följande nu som jag bestämt tror är rätt:
