Fråga 22 2018
Jag förstår inte varför mitt svar 3/2 är fel, de är inom intervallet under rottecknet, även den kontrollräkning jag gjorde längst ner ger ett ok värde. Rätt svar är -3/2, med andra ord menare facit att min rot på något vis är falsk eller i vart fall inte är rätt.


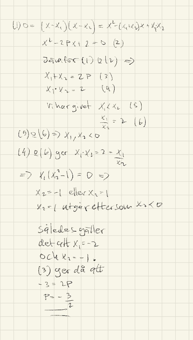
Okej, din metod är ju en annan än min och utifrån att jag inte vet svaret. Så hade jag gärna velat veta vad som är fel i det jag gjorde. Jag ser att du använt Vietas formler och det är en sak jag funderat på, när ska jag använda dem? I detta specifika fall ser jag ju att enligt ena regeln x1+x2=2p, att p måste vara negativt då x1 och x2 är negativa och därav kan p=3/2 ej vara rätt. Är det kanske det som Vietas formler är till för, kontrollera beräkningarna.
Det som "placerar" rötterna på rätt ställe är kravet samtidigt som . Det kan ju bara inträffa när och båda är negativa, vilket i sin tur bara kan inträffa när symmetrilinjen ligger till vänster om y-axeln, dvs måste vara negativt.
Tänk på att är en "glad mun"-kurva med en symmetrilinje vid . För att få till två reella rötter måste den glada munnen ligga så att funktionen har två nollställen.

