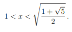
Fråga 31 2022
Jag fattar inte varför min lösning/lösningsmetod är fel. Jag gör bara "klassiskt" där jag sätter alla på samma bråkstreck och sen gör teckentabell. Dock tror jag detta blev ganska ineffektivt, då det tog lång tid/ mycket att skriva (vilket man kanske inte hinner på själva provet).
Facit: 


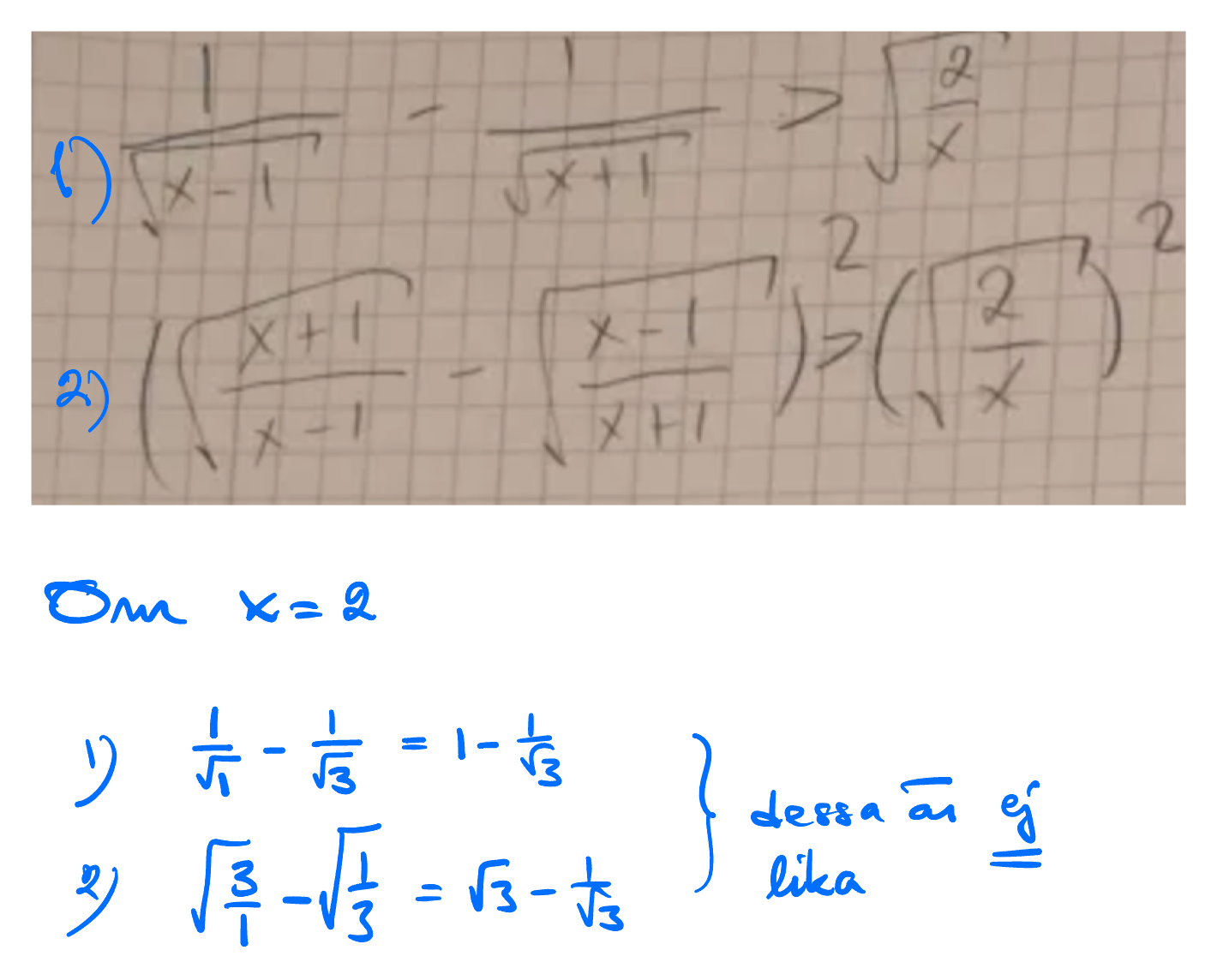
Vad händer i steg 2?

Jag har förlängt med nämnaren hos vardera bråk i VL för att sätta de under samma bråkstreck. Därefter kvadrerar jag båda sidor för att få bort rottecknet.
Arbetsmyran skrev:Jag har förlängt med nämnaren hos vardera bråk i VL för att sätta de under samma bråkstreck. Därefter kvadrerar jag båda sidor för att få bort rottecknet.
om x=2 är det som står i VL sant?
Ja tror det. Om vi lägger x=2 och utvecklar parentesen med ^2, så ges 3-2sqrt(3/3)+(1/3)=3+(1/3)-2=(9/3)+(1/3)-(6/3)=(10/3)-(6/3)=4/3 vilket är större än HL som är 2/2=1=3/3
Arbetsmyran skrev:Jag fattar inte varför min lösning/lösningsmetod är fel. Jag gör bara "klassiskt" där jag sätter alla på samma bråkstreck och sen gör teckentabell. Dock tror jag detta blev ganska ineffektivt, då det tog lång tid/ mycket att skriva (vilket man kanske inte hinner på själva provet).
Ja, det området behöver man inte lägga tid på.
Är det inte snabbare att först skriva vänsterled som
Och sedan kvadratera.

