Fråga ang. REDOX
Hej, om det står i en uppgift: "Balansera reaktionsformeln" och man har denna bland annat
S2- + I2 + OH- → SO42- + I- + H2O
Utgår man då att detta händer i basisk miljö? Jag har räknat 10tusen gånger och har alltid fått fel svar tills jag insåg att jag utgick ju hela tiden från sur miljö....
Dum fråga kanske vet ej. Undrar bara vad man ska tänka på om man skulle hitta såna på prov? Hade ju också kunnat skett under sur miljö?
Tack för svar!
Pluggiplugg skrev:Hej, om det står i en uppgift: "Balansera reaktionsformeln" och man har denna bland annat
S2- + I2 + OH- → SO42- + I- + H2O
Utgår man då att detta händer i basisk miljö? Jag har räknat 10tusen gånger och har alltid fått fel svar tills jag insåg att jag utgick ju hela tiden från sur miljö....
Dum fråga kanske vet ej. Undrar bara vad man ska tänka på om man skulle hitta såna på prov? Hade ju också kunnat skett under sur miljö?
Tack för svar!
Om det står att OH- är en reaktant, så innebär det att reaktionen sker i basisk miljö.
Pluggiplugg skrev:Hej, om det står i en uppgift: "Balansera reaktionsformeln" och man har denna bland annat
S2- + I2 + OH- → SO42- + I- + H2O
Utgår man då att detta händer i basisk miljö? Jag har räknat 10tusen gånger och har alltid fått fel svar tills jag insåg att jag utgick ju hela tiden från sur miljö....
Dum fråga kanske vet ej. Undrar bara vad man ska tänka på om man skulle hitta såna på prov? Hade ju också kunnat skett under sur miljö?
Tack för svar!
Hur balanserar du formeln i sur miljö?
Teraeagle skrev:Pluggiplugg skrev:Hej, om det står i en uppgift: "Balansera reaktionsformeln" och man har denna bland annat
S2- + I2 + OH- → SO42- + I- + H2O
Utgår man då att detta händer i basisk miljö? Jag har räknat 10tusen gånger och har alltid fått fel svar tills jag insåg att jag utgick ju hela tiden från sur miljö....
Dum fråga kanske vet ej. Undrar bara vad man ska tänka på om man skulle hitta såna på prov? Hade ju också kunnat skett under sur miljö?
Tack för svar!Hur balanserar du formeln i sur miljö?
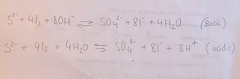
Detta kommer nu kanske sent, men det hade också kunnat se ut så här också eller inte? 
Man måste kolla på t ex elektrokemiska spänningsserien för att kolla vilka reaktioner som verkligen inträffar.
Pluggiplugg skrev:Teraeagle skrev:Pluggiplugg skrev:Hej, om det står i en uppgift: "Balansera reaktionsformeln" och man har denna bland annat
S2- + I2 + OH- → SO42- + I- + H2O
Utgår man då att detta händer i basisk miljö? Jag har räknat 10tusen gånger och har alltid fått fel svar tills jag insåg att jag utgick ju hela tiden från sur miljö....
Dum fråga kanske vet ej. Undrar bara vad man ska tänka på om man skulle hitta såna på prov? Hade ju också kunnat skett under sur miljö?
Tack för svar!Hur balanserar du formeln i sur miljö?
Detta kommer nu kanske sent, men det hade också kunnat se ut så här också eller inte?
Det där är samma reaktion, skriven på två olika sätt. Att konsumera 8 hydroxidjoner eller bilda 8 vätejoner ger samma resultat. Problemet är att vätejonerna som bildas kommer begränsa reaktionen (åt höger) eftersom de får den att förskjutas åt vänster. Så reaktionen sker bättre i basisk miljö.