3
svar
78
visningar
Fråga om beräkning av rotations kropp
Jag hade en snabb fråga bara:
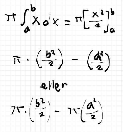
När jag sätter upp en beräkning för en rotations kropp, och ställer upp integralen (efter primitiva funktionen) borde jag multiplicera båda sidorna med pi eller bara en sida?
Alltså:

Det senare.
pi står som faktor framför hela integralen.Tänk dig att pi inte var där. Räkna ut resultatet och multiplicera med pi.
Laguna skrev:Det senare.
pi står som faktor framför hela integralen.Tänk dig att pi inte var där. Räkna ut resultatet och multiplicera med pi.
Okej, så jag an alltså bara tänka på det som
Jag frågade mest bara så att jag skriver det rätt på nationella provet