2
svar
76
visningar
metfraen behöver inte mer hjälp
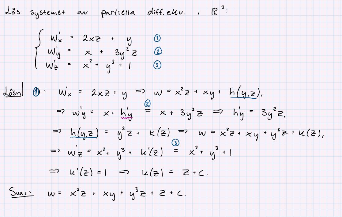
Fråga om ekvivalenspilar (flervarre)
Under föreläsningen skrev min föreläsare följande exempel, och jag undrar varför han inte använde ekvivalenspilar. Är det fel att göra det här? Varför isåfall?

Jag ögnar bara som hastigast nu: första pilen håller jag med om att den bör vara en ekvivalenspil. Andra pilen bör dock inte vara det. Jag har på känn att han gjorde det enkelt för sig och sade bara att "ditten leder till datten" oavsett om datten även leder till ditten, eftersom att ekvivalens inte var värt att hålla koll på för uppgiftens lösande.
Juste, jag förstår vad du menar. Tack!