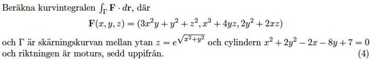
Fråga om gränsen i Stokes sats

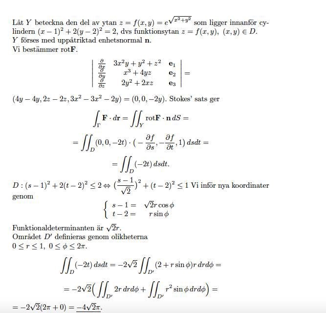
facit:


Det står ju att det är då borde ju det vara radien ? ??
Hej!
Ekvationen är inte på någon sorts "standard form" (du pratar om en radie).
Om vi vill ha en cirkel så vill vi inte gärna ha den där 2an i som multiplicerar parentesen. Det vi kan göra då är att försöka skriva om ekvationen till ekvationen för en ellips, då ska vänsterledet vara lika med 1, och det är just det dom gör.
Moffen skrev:Hej!
Ekvationen är inte på någon sorts "standard form" (du pratar om en radie).
Om vi vill ha en cirkel så vill vi inte gärna ha den där 2an i som multiplicerar parentesen. Det vi kan göra då är att försöka skriva om ekvationen till ekvationen för en ellips, då ska vänsterledet vara lika med 1, och det är just det dom gör.
Hej!
Alltså menar du att man skriver om till ??
sannakarlsson1337 skrev:Moffen skrev:Hej!
Ekvationen är inte på någon sorts "standard form" (du pratar om en radie).
Om vi vill ha en cirkel så vill vi inte gärna ha den där 2an i som multiplicerar parentesen. Det vi kan göra då är att försöka skriva om ekvationen till ekvationen för en ellips, då ska vänsterledet vara lika med 1, och det är just det dom gör.
Hej!
Alltså menar du att man skriver om till ??
Njae. Du vill ha en etta i HL men har en tvåa. Kan du dividera båda led med 2 för att få en etta i HL kanske?
sannakarlsson1337 skrev:Moffen skrev:Hej!
Ekvationen är inte på någon sorts "standard form" (du pratar om en radie).
Om vi vill ha en cirkel så vill vi inte gärna ha den där 2an i som multiplicerar parentesen. Det vi kan göra då är att försöka skriva om ekvationen till ekvationen för en ellips, då ska vänsterledet vara lika med 1, och det är just det dom gör.
Hej!
Alltså menar du att man skriver om till ??
Skriv om till . Använd sedan elliptiska koordinater där och så går det att se att vilket även används för integralens gränser.
R0BRT skrev:sannakarlsson1337 skrev:Moffen skrev:Hej!
Ekvationen är inte på någon sorts "standard form" (du pratar om en radie).
Om vi vill ha en cirkel så vill vi inte gärna ha den där 2an i som multiplicerar parentesen. Det vi kan göra då är att försöka skriva om ekvationen till ekvationen för en ellips, då ska vänsterledet vara lika med 1, och det är just det dom gör.
Hej!
Alltså menar du att man skriver om till ??Skriv om till . Använd sedan elliptiska koordinater där och så går det att se att vilket även används för integralens gränser.
Okej, men varför vill man göra det? vad är det för fel på ?
sannakarlsson1337 skrev:R0BRT skrev:sannakarlsson1337 skrev:Moffen skrev:Hej!
Ekvationen är inte på någon sorts "standard form" (du pratar om en radie).
Om vi vill ha en cirkel så vill vi inte gärna ha den där 2an i som multiplicerar parentesen. Det vi kan göra då är att försöka skriva om ekvationen till ekvationen för en ellips, då ska vänsterledet vara lika med 1, och det är just det dom gör.
Hej!
Alltså menar du att man skriver om till ??Skriv om till . Använd sedan elliptiska koordinater där och så går det att se att vilket även används för integralens gränser.
Okej, men varför vill man göra det? vad är det för fel på ?
Det är enklare hitta de nya koordinaterna med ekvationen för en ellips . Då går det från uttrycket att se att koordinaterna och är passande och att ytelementet blir . Det går även att utgå från det uttryck du skriver och det går även att välja andra gränser på r men det blir inte lika enkelt att se koordinattransformationen direkt från uttrycket då.