4 svar
131 visningar
Elliot123 behöver inte mer hjälp
Elliot123 3
Postad: 29 jan 2023 22:56

Fråga om induktionsbevis

Hej! Jag vet hur man gör induktionsbevis men förstår inte riktigt denna uppgiften. All hjälp uppskattas! : )

Dr. G 9618
Postad: 29 jan 2023 23:05

Hur har du börjat?

Du ska visa att antagandet stämmer för basfallet n = 1.

Sedan visa att om antagandet är sant för n = p, så är det även sant för n = p + 1. 

Dani163 1035
Postad: 30 jan 2023 01:24 Redigerad: 30 jan 2023 01:27

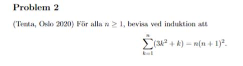
"För alla n≥1, bevisa med hjälp av induktion att \sum_{k=1}^n (3k^2+k) = n(n+1)^2."

Såhär har jag tänkt, någon får gärna säga till om det är fel!

Basfallet (n=1n = 1):

k=11(3k2+k)=3(1)2+1=3+1=4\sum_{k=1}^1 (3k^2 + k) = 3(1)^2 + 1 = 3 + 1 = 4

och

1(1+1)2=1(2)2=41(1+1)^2 = 1(2)^2 = 4

Så basfallet stämmer.

Induktionssteg (n=pn=p+1n = p \Rightarrow n = p + 1):

Antag att

k=1p(3k2+k)=p(p+1)2\sum_{k=1}^p (3k^2 + k) = p(p+1)^2

Vi vill visa att då är det sant att

k=1p+1(3k2+k)=(p+1)(p+2)2\sum_{k=1}^{p+1} (3k^2 + k) = (p+1)(p+2)^2

Härifrån blev jag osäker hehe.

Visa spoiler

Vi börjar med den vänstra sidan:

k=1p+1(3k2+k)=k=1p(3k2+k)+(3(p+1)2+(p+1))\sum_{k=1}^{p+1} (3k^2 + k) = \sum_{k=1}^{p} (3k^2 + k) + (3(p+1)^2 + (p+1))

Då vi har antagit att

k=1p(3k2+k)=p(p+1)2\sum_{k=1}^p (3k^2 + k) = p(p+1)^2

k=1p+1(3k2+k)=p(p+1)2+(3(p+1)2+(p+1))\sum_{k=1}^{p+1} (3k^2 + k) = p(p+1)^2 + (3(p+1)^2 + (p+1))

Och

k=1p+1(3k2+k)=p(p+1)2+3(p+1)2+p+1\sum_{k=1}^{p+1} (3k^2 + k) = p(p+1)^2 + 3(p+1)^2 + p + 1

k=1p+1(3k2+k)=(p+3(p+1))(p+1)2+p+1\sum_{k=1}^{p+1} (3k^2 + k) = (p+3(p+1))(p+1)^2 + p + 1

k=1p+1(3k2+k)=(p+3p+3)(p+1)2+p+1\sum_{k=1}^{p+1} (3k^2 + k) = (p+3p+3)(p+1)^2 + p + 1

k=1p+1(3k2+k)=(6p+3)(p+1)2+p+1\sum_{k=1}^{p+1} (3k^2 + k) = (6p+3)(p+1)^2 + p + 1

k=1p+1(3k2+k)=(p+1)(6p+3)(p+1)+p+1\sum_{k=1}^{p+1} (3k^2 + k) = (p+1)(6p+3)(p+1) + p + 1

k=1p+1(3k2+k)=(p+1)((p+1)(6p+3)+1)\sum_{k=1}^{p+1} (3k^2 + k) = (p+1)((p+1)(6p+3) + 1)

k=1p+1(3k2+k)=(p+1)((p+1)(6p+3)+1)\sum_{k=1}^{p+1} (3k^2 + k) = (p+1)((p+1)(6p+3) + 1)

k=1p+1(3k2+k)=(p+1)((p+1)(6p+3)+1)=(p+1)(p+2)2\sum_{k=1}^{p+1} (3k^2 + k) = (p+1)((p+1)(6p+3) + 1) = (p+1)(p+2)^2

Så antagandet stämmer för n=p+1n = p + 1.

 

Tomten 2010
Postad: 30 jan 2023 08:47

Dela upp summan t v i dels från 1 till p (som du redan känner via ind.ant) och den sista termen för sig. Förenkla och se vad du får.

Elliot123 3
Postad: 30 jan 2023 11:02

Tack för hjälpen! Nu förstår jag! : )

Svara
Close