1
svar
113
visningar
Fråga om normalen i Stokes sats
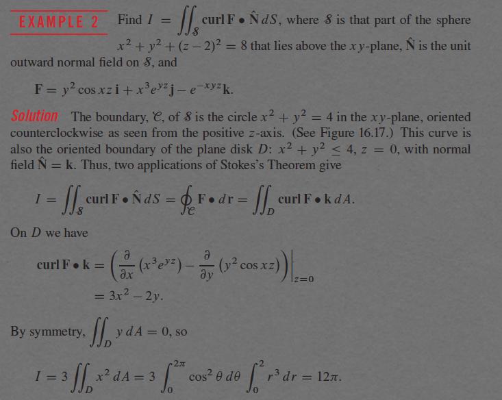
Hej, jag har en fråga om satsen i första bilden. Har inte hört uttrycket normalfält tidigare så är lite osäker men jag tänker att i exemplet nedan så har vi en sfär x2+y2+(z-2)2=8 vars normal vi kan kalla N. Själva cirkelns x2+y2=4 normal kan vi kalla M. Hur avgör jag vilken normal jag ska använda till satsen, M eller N?



De integrerar över cirkelskivan D vars enhetsnormal är k. Så därför använder de k.
Cirkeln C är rand till skivan D. Eftersom cirkeln även är rand till det ”sfäriska”området S så blir ytintegralen över skivan D lika med ytintegralen över ”sfären” S pga Stokes. Man väljer att räkna ytintegralen över skivan eftersom det ser ut att vara enklare.