2 svar
108 visningar
lijo01092 behöver inte mer hjälp
lijo01092 67 – Fd. Medlem
Postad: 26 okt 2020 16:11

Fråga om omskrivning av summor

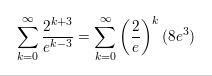
Vad händer här?

SeriousCephalopod 2788
Postad: 26 okt 2020 16:20

Potenslagar. Är ingen summaaritmetik utan är potenslagarna som har använts för att skriva om

2k+3ek-3=2ek(8e3)\frac{2^{k + 3}}{e^{k - 3}} = \left ( \frac{2}{e}\right )^k (8e^3)

Exempelvis 2k+3=2k·23=2k·82^{k + 3} = 2^k \cdot 2^3 = 2^k \cdot 8

lijo01092 67 – Fd. Medlem
Postad: 26 okt 2020 16:26
SeriousCephalopod skrev:

Potenslagar. Är ingen summaaritmetik utan är potenslagarna som har använts för att skriva om

2k+3ek-3=2ek(8e3)\frac{2^{k + 3}}{e^{k - 3}} = \left ( \frac{2}{e}\right )^k (8e^3)

Exempelvis 2k+3=2k·23=2k·82^{k + 3} = 2^k \cdot 2^3 = 2^k \cdot 8

Jaha, tack så mycket!

Svara
Close