6
svar
256
visningar
Frågande

Hej
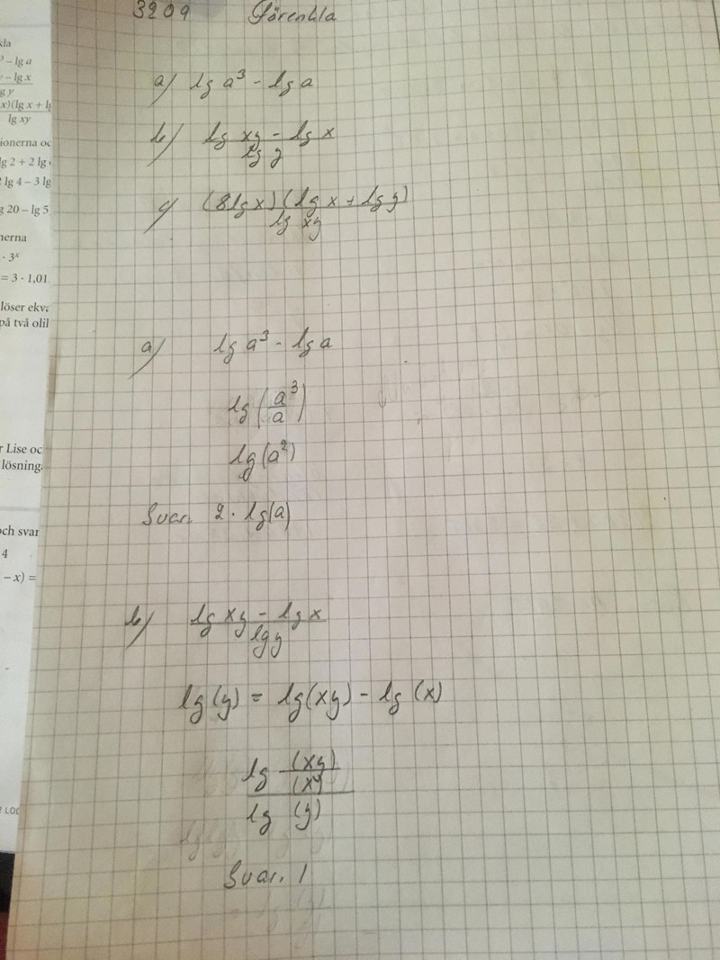
a) Använd dig av andra logaritmerlagen kommer du vidare?

Vad säger du om detta då, vet inte om det är rätt,
Absolut det är rätt du kan skriva det som "lite snyggare".
Testa nu på b) uppgiften du kan använda dig av samma metod.
Ditt svar är korrekt, men din uträkning fram till svaret är inte så tydligt, därför tipsar jag dig att skriva exempelvis följande:
, ser du skillnaden?

