Frågor om tröghetsmoment och parallellförflyttningssatsen
Hej!
Undrar lite över det här med tröghetsmoment. Har precis insett att jag inte alls förstår hur det fungerar, eller vad man egentligen "får fram" när man räknar på det.
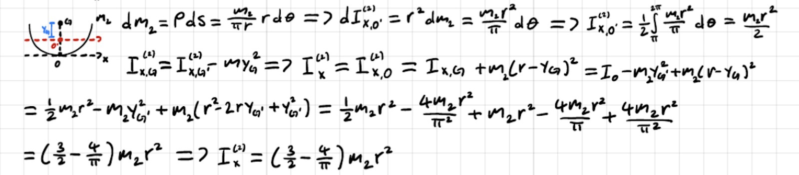
Tag denna fråga som exempel, undrar specifikt över tröghetsmomentet för den halva ringen.
Lösningen (hittad online):

Här näst: förvirring.
Varför beräknar de tröghetsmomentet i början med avseende på det primmade koordinatsystemet, men sedan uttrycker/"flyttar" tillbaka tröghetsmomentet till det "vanliga koordinatsystemet" (siktar på detta: )
Bara för att sedan uttrycka/"flytta tillbaka" det till ?
Tror egentligen att jag har problem med att visualisera tröghetsmomentet, och förstå med avseende på vilken punkt man beräknar ett tröghetsmoment när man endast integrerar för / (fått för mig sedan tidigare att man beräknar tröghetsmoment med avseende på masscentrum?) , samt förstå lösningen och dess indexeringar.
Vet inte om detta vart för krångligt skrivet för att kunna tolkas - förtydligar gärna. Tack på förhand!