Från derivata till funktion
Hej vad gör jag för fel på b?


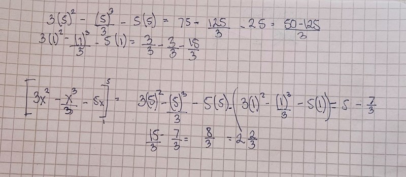
EDIT - såg inte att du frågade om b-uppgiften.
Kontrollera denna uträkning:

Yngve skrev:EDIT - såg inte att du frågade om b-uppgiften.
Kontrollera denna uträkning:
Jag har försökt att räkna om, förstår inte vad jag gör för fel i facit står det 10 2/3 a.e

Jag tror du tar för stora tankesteg I huvudet.
Skriv ut fler steg i din uträkning.
=======
Ser du vad det är som blev fel här?

Här har jag markerat felen. Ser du vad det borde stå istället?

Yngve skrev:
Jag tror du tar för stora tankesteg I huvudet.
Skriv ut fler steg i din uträkning.
=======
Ser du vad det är som blev fel här?
Här har jag markerat felen. Ser du vad det borde stå istället?
Jag har räknat om alltihopa för att insåg att - och - ska bli plus
Bra. Fick du fram rätt resultat nu?
Yngve skrev:Bra. Fick du fram rätt resultat nu?
Ja tack
Yngve skrev: