2
svar
136
visningar
SmältOst behöver inte mer hjälp
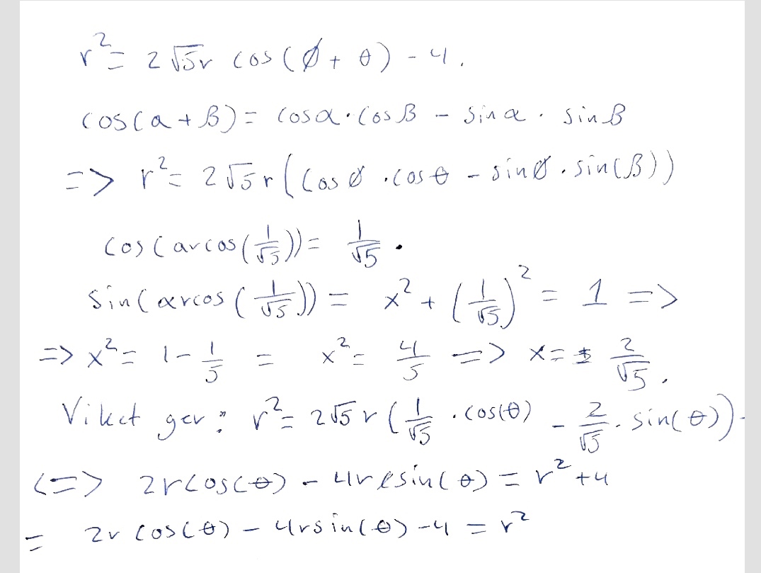
Från polära till kartesiska koordinater


x=rcos(theta)
y=rsin(theta)
r=
2x-4y-4=x^2+y^2? Är dett rätt?
Ja, men du kan ju kvadratkomplettera så man ser att den att den kvadratiska formen är en fin cirkel.
D4NIEL skrev:Ja, men du kan ju kvadratkomplettera så man ser att den att den kvadratiska formen är en fin cirkel.
Tack fixade det!