2
svar
181
visningar
offan123 behöver inte mer hjälp
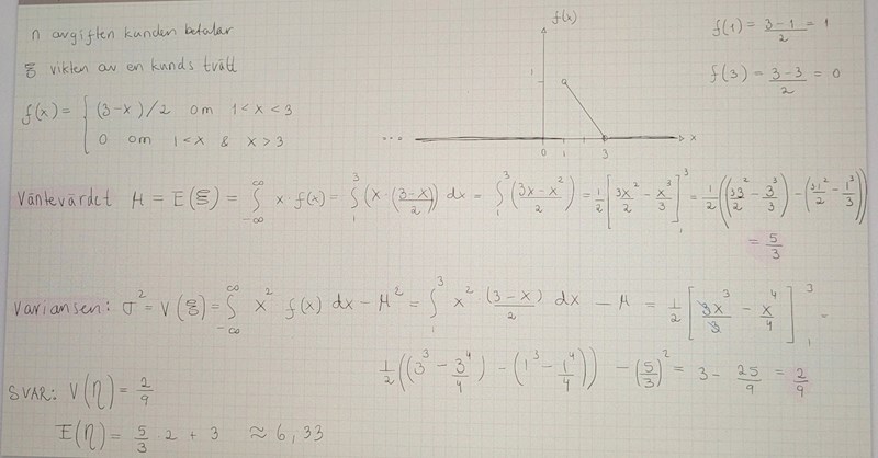
Frekvensfunktion
Jag har frekvensfunktionen, f(x), men är osäker vad jag ska göra med den för att kunna få ut väntevärdet och variansen.
Väntevärdet av en kontinuerlig funktion definieras som , och variansen definieras som .
Variansen kan också beräknas som . :)
Sen har jag en liten fråga angående den fasta avgiften på 3 dollar och rörlig avgift på 2 dollar/kg. Blir det inte .....×2+3?