1
svar
178
visningar
detrr behöver inte mer hjälp
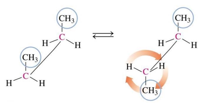
Fri rotation hos alkaner
Hej, när det är fri rotation hos alkaner är det kolatomen som roterar eller är det grupperna som är bundna till kolet som roterar?

Grupperna runt kolet.