Frigjord energi vid neutron-proton fusion

Jag har skrivit en lite annorlunda reaktionsformel / förlopp för frigjord energi när proton och neutron slås samman.

Det jag gjorde var att jag angav kärnans, protonens massa direkt istället för väteatomens massa som boken angav.

Såvitt jag vet består protonen av vätekärnan, så min reaktion borde också anses vara korrekt.
Några tankar / åsikter kring detta?
Otydligt/felaktigt formulerad fråga.
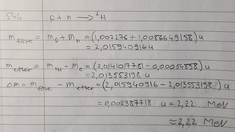
En proton och en neutron kan bli en deuteron med massa
https://pml.nist.gov/cgi-bin/cuu/Value?mdu
Är deuteron samma sak som tungt väte?

Nej, deuteron är kärnan, eller den positiva jonen, som i detta fall är samma sak.
Så frågan är inte korrekt formulerat. Antingen skulle det ha stått att tungt väte produceras genom neutronabsorption i vanligt väte. Eller så säger man att en proton och en neutron reagerar till att bilda en deuteron. Reaktionsekvationen måste vara balanserad,
Båda ger samma svar: 2,22 MeV.
Just det, du har helt rätt!
Det är en kärnreaktion och då inkluderar man endast kärnor. Det är därför det kallas deuteron istället för deuterium eller tungt väte.
Och anledningen till att det är samma svar 2,22 MeV är att elektronmassorna tar ut varandra (för vanliga atommassor) eller som jag gjorde och räknade endast kärnmassor (proton är vätekärnan) :)