1
svar
140
visningar
Friktion, hävarm
Hej!
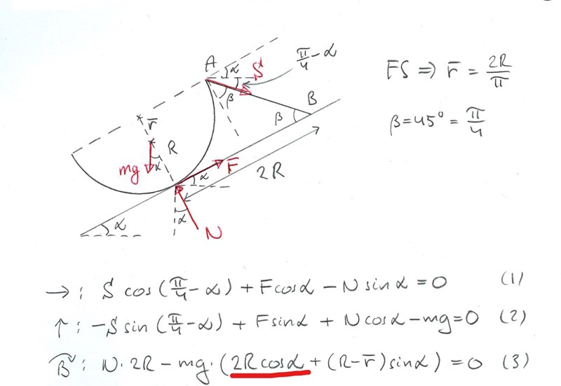
Jag har fastnat på en uppgift där det jag markerat i rött är det jag undrar över. Jag antar att det är hävarmen till kraften som verkar parallellt med den streckade linjen i halvcirkeln (och som är en av komposanterna till mg).

Men jag vet inte varför det blir just 2Rcos(alpha)*(-mg) i facit. Jag tänker att det bara borde vara 2R *(-mg) som är hävarmen? Alltså samma hävarm som för kraften N.
Tacksam för svar!
Om du komposantuppdelar kraften mg så är hävarmen 2R för komposanten mg*cos(a). För komposanten mg*sin(a) är hävarmen (R - r).
Om du hellre vill komposantuppdela hävarmen istället för kraften så går det lika bra.