friktion kraften
Två kulor med samma massor och radier krockar. Deras hastigheter innan krock var respektive och deras positioner vid krock var och . I vilken riktning verkarfriktionskraften på respektive kula
jag tänkte räkna fram friktion kraften. Detta gör att jag kan få riktidningen från den. Jag kom fram till är att formeln till frikonkraften är
.
Men det verkar vara fel eller jag har missat något.
Det är nog tänkt att du skall dela upp hastigheterna i kontaktpunkten mellan kulorna i normal- och tangentialkomponenter.
Friktionskraftens riktning på den första kulan borde ha samma riktning som den andra kulans tangentialhastighet relativt första kulans tangentialhastighet.
Dvs samma riktning som vektorn .
Friktionskraften på den andra kulan har motsatt riktning (kraft och motkraft).
Ja det blir en del ritande, klurande och vektoralgebra.
PATENTERAMERA skrev:Det är nog tänkt att du skall dela upp hastigheterna i kontaktpunkten mellan kulorna i normal- och tangentialkomponenter.
Friktionskraftens riktning på den första kulan borde ha samma riktning som den andra kulans tangentialhastighet relativt första kulans tangentialhastighet.
Dvs samma riktning som vektorn .
Friktionskraften på den andra kulan har motsatt riktning (kraft och motkraft).
Ja det blir en del ritande, klurande och vektoralgebra.
Hej
Jag behöver lite mer hjälp för att kunna hitta fram till lösningen. Du nämnde att man ska rita. Vad jag gjorde är att ritade kollisionen på varandra. Men jag är fortfarande lite lost. Hur man får fram kraften

Om centrum för kulorna är (0 0 0)T och (1 1 0)T så ligger kontaktpunkten mittemellan, dvs i punkten (1/2)(1 1 0)T. Vad blir en normalvektor till den första kulan i denna punkt?
PATENTERAMERA skrev:Om centrum för kulorna är (0 0 0)T och (1 1 0)T så ligger kontaktpunkten mittemellan, dvs i punkten (1/2)(1 1 0)T. Vad blir en normalvektor till den första kulan i denna punkt?
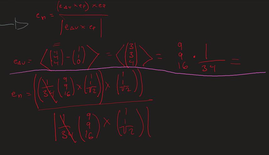
Jag märkte att e rå = ep är .
Jag vet inte om jag tänker rätt här men blir inte ep = (1,1, ) och (0,0,) och detta gör att man kan använda sig av denna formeln
Tänker jag rätt. Om jag gör det varför får jag fel svar
Vad menar du med e?
En enhetsnormal i kontaktpunkten är .
Så friktionskraften borde ha riktningen
,
om jag inte tänker helt galet.