Friläggning av ett system (mycket algebra)
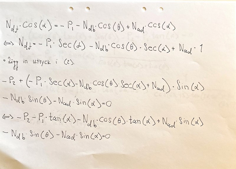
Jag ska frilägga ett fackverk, just hur fackverket ser ut spelar inte så stor roll för min fråga. Enligt min lärare har jag gjort fel på just friläggningen av denna knutpunkt så jag antar att allt före detta är korrekt (står högst upp på första sidan "förutsättningar"). Jag skulle vara mycket tacksam om någon kunde snabbt kolla och se om några allvarliga fel syns. När jag testar mina resultat genom att sätta in svaren i ekvationerna får jag ungefär 0 (en ekvation blev -3 när jag satte in allt). Jag vet inte hur detta kan vara möjligt om det är inte pga. avrundning. Jag har testat alla vinklar så jag har svårt att tro vinklarna är fel. Det kan vara så att jämviktsekvationerna är fel men det verkar inte så.
Tack i förhand!




Spontant verkar det lite lurigt med de tre "N-krafterna" som alla är i 90gr vinkel till varandra. Har det blivit en för mycket?
Ralfs skrev:Jag ska frilägga ett fackverk, just hur fackverket ser ut spelar inte så stor roll för min fråga.
Det är omöjligt att bedöma din friläggning utan att veta vad som ska friläggas.