Friläggning av fackverk - För många okända
Jag kan ge mer detaljer om så behöves, men jag har frilagt fackverket och allt är i jämvikt.

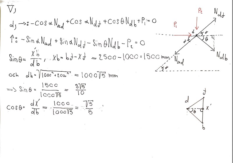
Jag kunde frilägga knutpunkt a utan problem.

Mitt problem gäller knutpunkt d, det finns två okända och eftersom jag känner till Nad, jag borde därför hypotetiskt kunna lösa ut normalkrafterna men problemet är att ingen av Ndf och Ndb är strikt horisontell eller vertikal, dessa är därför båda i ekvationerna (längst ner). Det måste vara något som jag missar men ser inte vad det är. Tack!


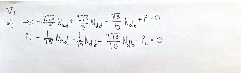
Två okända och två ekvationer. Bara att tuta och köra...?
Lös ut en ur den första och stoppa in i den andra. Massa algebraiska traggel följer. Eller så använder du en lösare på miniräknaren så som Simultaneous solver på TI-84+.