Friläggning - knutpunkter


Detta är ett exempel från min mekanik läsebok, jag har lite frågor och så om hur detta fungerar.
Jag antar att med "knutpunkter" så menas de punkter där flera stångar möts, strategin utgår alltså från att analysera varje enskild knutpunkt och hitta krafterna som verkar längst varje stång från knutpunkten.
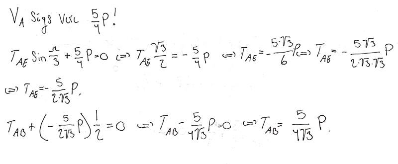
Angående matematiken, exempelvis för knutpunkt A, antar jag att uträkningen skulle se ut så här:

Min största fråga är gällande detta "Stången AE utsätts alltså för en tryckkraft medans AB utsätts för en dragkraft". Är detta eftersom dragkraft sker när stången är horisontell? Jag har lite svårt med begreppet dragkraft i stela system eftersom jag alltid associerar dragkraft med rörelse, exempelvis dra upp ett objekt för en backe. Jag skulle verkligen uppskatta lite redogörelse för skillnaden mellan dessa två krafter i ett sånt här system.
Om du ställer upp kraften inuti en stång som utåt från snittet vid friläggning kommer ett positivt resultat innebära att den utsätts för draglaster. Ett negativt dito innebär trycklaster.
Dragning kan helt enkelt betraktas som att du tar tag i båda ändar av något och drar. Tryck är istället tvärtom att du tar tag i båda sidor och trycker ihop. Poängen med fackverk är att det kan vara ganska svårt att snabbt se vilka som utsätts för tryck och vilka som utsätts för drag. Detta är sedan relevant speciellt när man vill ersätta en stång med en kabel/wire till exempel. Du kan inte ersätta en stång som utsätts för tryck i ett fackverk med en kabel/wire av ganska självklara anledningar.
Sedan kan man även få problem med buckling vid tryck kontra plastisk separation eller sprött dragbrott vid dragning. Men det är kanske överkurs.