3
svar
146
visningar
Friläggning-vagn


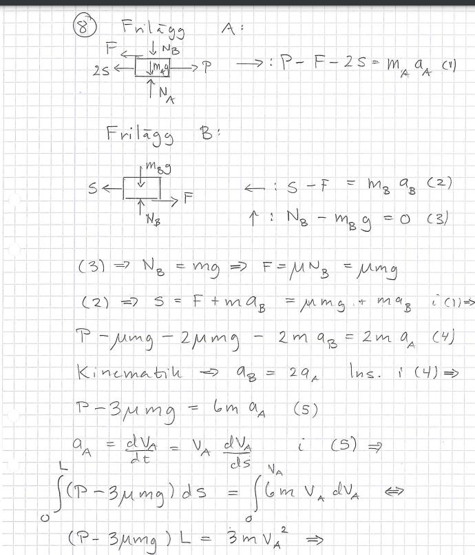
Hej! Någon som förstår vad kraften F i friläggninen av A kommer ifrån?
Det är friktionskraften mellan klossarna.
Ture skrev:Det är friktionskraften mellan klossarna.
Men när man frilägger A så borde den väll inte vara då den påverkar inte A utan det är B som påverkas av friktionskraften, eller har jag fel?
A och B påverkar varandra lika mycket genom friktionskrakten.