Fröspridning: Inegraler och sannolikhet
Hej, jag försöker lösa denna Ma5-uppgift:

Jag har lagt in värdena i geogebra och anpassat en trendlinje: y=884,23e^-1.31x
Där y beskriver fröspridningen för avståndet x från plantan.
(Fråga 1: När jag skulle göra diagrammet bad min lärare mig att bestämma medelvärdet för varje intervall. Han förklarade dock inte varför? Geogebra borde rimligtvis kunna skapa en trendlinje med intervall också?)


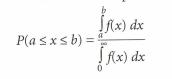
Hur beskriver jag sannolikheten?
Täljaren beskriver väll antalet frön inom det givna intervallet och nämnaren beskriver antalet frön.
Alltså: P=antalet gynsamma utfall/antalet möjliga utfall
Fråga 2: Hur kan jag utveckla det resonemanget?
Vi har inte gått igenom beräkning av intergraler med oändligheten som integrationsgräns... Jag förstår att eftersom f(x) är en expontentialfunktion har den också ett gränsvärde då x →∞.
Fråga 3: Använder jag det? Hur löser jag det?
Jag behöver hjälp med resten av uppgiften också men tänkte börja såhär;)
Stort tack på förhand!