4
svar
107
visningar
destiny99 behöver inte mer hjälp
Fundamental matris för differentialekvationer




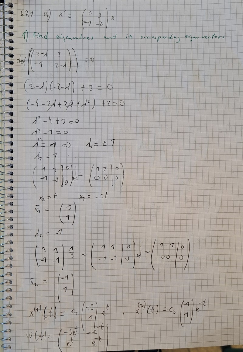
Såhär löste jag a ) och b) , men det verkar vara något med tecken enligt facit. Jag har kollat igenom om det har blivit strul med tecken nånstans men kan ej se något ännu. Om man stoppar phi(0) så blir det inte heller lika med identitetsmatrisen.
är inte korrekt:

LuMa07 skrev:är inte korrekt:
Ah juste! Tack.
Juste en sak till.. det är så att facit har fått (et+e-t)/2 men jag får (-et+e-t)/2 när jag räknar om. Jag vet inte om de gjort fel där.

Det måste vara fel i facit. Om man tar från facit, så är , vilket du själv noterade i ursprungsinlägget. Med andra ord så uppfyller facits svar inte deluppgiftens krav.
