7 svar
329 visningar
Maremare behöver inte mer hjälp
Maremare 1044 – Fd. Medlem
Postad: 19 aug 2020 11:15

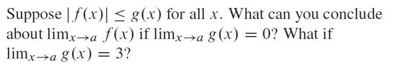
funderingar kring en "kluring" gällande gränsvärde (envariabelanalys)

har stött på denna men förstår inte riktigt vilken information jag missar i min tolkning då jag får fel svar i den andra frågan

den första tror jag att jag är med på eftersom jag får det till 0 då det inte finns något annat tal än 0 där olikheten går in

men den andra tänker jag bara att det borde vara -3 limxaf(x)3

men det var fel då de skrev -1 limxaf(x)3

förstår inte vart -1 kommer ifrån eller så förstår jag inte frågan riktigt

om jag tänker att g(x) är tex g(x) = 3 då borde väl |f(x)| ligga mellan x=+-3? eller tänker jag fel redan här?

några tips eller hur ska man tänka här?

Micimacko 4136
Postad: 19 aug 2020 11:56

Jag tror att de har skrivit fel.

Maremare 1044 – Fd. Medlem
Postad: 19 aug 2020 12:12
Micimacko skrev:

Jag tror att de har skrivit fel.

vad är skrivet fel?

Hondel 1547
Postad: 19 aug 2020 12:23

Ja trot också att de skrivit fel. Ta exempelvis g(x)=3 och f(x)=-2. De uppfyller att |f(x)|<=g(x) för alla x, g(x)->3 när x->a (vilket a som helst), men f(x)->-2 när x->a. Och det motsäger ju den undre gränsen på -1

Hondel 1547
Postad: 19 aug 2020 12:25
Hondel skrev:

Ja trot också att de skrivit fel. Ta exempelvis g(x)=3 och f(x)=-2. De uppfyller att |f(x)|<=g(x) för alla x, g(x)->3 när x->a (vilket a som helst), men f(x)->-2 när x->a. Och det motsäger ju den undre gränsen på -1

Och att du tänker rätt. Den undre gränsen ska vara -3

Maremare 1044 – Fd. Medlem
Postad: 19 aug 2020 12:37
Hondel skrev:
Hondel skrev:

Ja trot också att de skrivit fel. Ta exempelvis g(x)=3 och f(x)=-2. De uppfyller att |f(x)|<=g(x) för alla x, g(x)->3 när x->a (vilket a som helst), men f(x)->-2 när x->a. Och det motsäger ju den undre gränsen på -1

Och att du tänker rätt. Den undre gränsen ska vara -3

tack för hjälpen!

JohanB 168 – Lärare
Postad: 20 aug 2020 15:31

Det är även rätt slarvigt skrivet med rättningen. Det man kan säga är att OM gränsvärdet existerar så ligger det mellan -3 och 3. Men bara för att g har ett gränsvärde så behöver inte f ha det.

Albiki 5096 – Fd. Medlem
Postad: 20 aug 2020 22:11

Hej M.M.

Triangelolikheten ger att

    |f(x)-3||f(x)-g(x)|+|g(x)-3||f(x)-3| \leq |f(x)-g(x)| + |g(x)-3|

och den andra termen är mycket liten om xx är tillräckligt nära talet aa. Dessvärre vet vi inget om hur nära f(x)f(x) och g(x)g(x) är i närheten av aa, så det går inte att avgöra om f(x)f(x) är nära 33 då.

Svara
Close