Funderingar kring hur man bör lösa olikheter
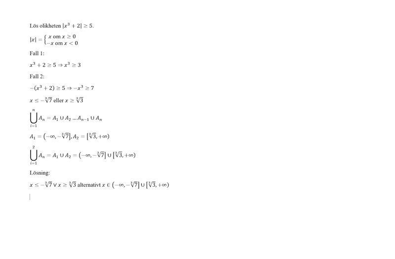
Hej. Jag är ny här och behöver lite hjälp med att lösa en olikhet eller rättare sagt hur jag bör tänka när jag skall lösa olikheter generellt. I alla fall här är den olikheten som jag har försökt att lösa: abs(x^3 + 2) är större än eller lika med 5. Här nedan finns en skärmbild på min uträkning och lösning.

Som ni kan se har jag följt några steg och till slut kommit fram till ett resultat. Min fråga är egentligen om det är något jag bör lägga till i själva uträkningen (som ett extra steg som visar tydligare hur jag tänker) eller om det kanske är något jag bör hoppa över nästa gång jag löser en olikhet? Jag är öppen för era synpunkter och skulle vara mycket tacksam för alla svar!
Här kan ni läsa hur jag har tänkt när jag löste uppgiften:
1. Jag tittar vilken typ av olikhet det är. Jag ser att abs(x^3 + 2) är större än eller lika med 5 beskriver ett icke-sammanhägande intervall (det är alltså två åtskilda intervall på tallinjen, d.v.s. det finns ett "gap" mellan de).
2. Jag använder definitionen av absolutbelopp för att dela upp olikheten i två möjliga fall. Se bilden. Så vitt jag vet och har förstått så är absolutbeloppet av ett tal alltid positivt eller lika med noll (kanske inte så konstigt med tanke på absolutbelopp beskriver avstånd och en längd kan aldrig vara negativ per definition. Jag kan ha fel, så döm mig inte snälla).
3. Jag flyttar över konstanttermen från olikhetens vänsterled till högerled i båda fallen (fall 1 och fall 2).
4. Jag tar kubikroten. För fall 2 kan man ta kubikroten även om HL råkar vara negativ, eftersom udda rötter inte har några "problem" med negativa tal; är det en jämn rot så hamnar vi ju i det komplexa talplanet, men det är väl en annan historia. Jag vill tillägga att jag har haft jämna och udda funktioner i åtanke när jag löste olikheten. Jag vet inte om det har med saken i sig att göra, men jag antar att man bör skilja på jämna och udda funktioner respektive jämna och udda potenser. En jämn funktion är symmetrisk kring y-axeln och uppfyller f(-x) = f(x). En udda funktion är symmetrisk kring origo och uppfyller f(-x) = -f(x). Detta är väl mer en symmetriegenskap... Så i detta fall har det nog mer att göra med huruvida det är en jämn eller udda potens.
5. Jag anger unionen och sist men inte minst lösningen.
Hej och välkommen till Pluggakuten!
Din lösning är bra, ditt svar är korrekt.
Ett par kommentarer:
- Du kanske bör utveckla resonemanget som leder dig från de tre olikheterna , och till de två i svaret.
- Personligen tycker jag att de tre rader där du beskriver unioner känns onödiga och kan hoppas över. Gå istället direkt på det du skrev i början på sista raden.