Fundersam
Hej!
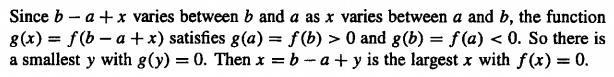
om är kontinuerlig på med . Hur kan då resonemanget " tar på sig värden mellan och när x är mellan och " vara sant?
T.ex om så får vi att vilket bara stämmer för

Bild för kontext
Vad är uppgiften? Att bevisa satsen eller vad?
Uppgiften är , "Låt vara kontinuerlig på med bevisa att det finns ett största i för vilket ".
Författaren har tidigare i boken givet ett bevis för att det finns ett med , då har dem ovanstående kraven.
I det beviset använder han sig av för att hitta det minsta x:et med .
Så jag förstår idén med varför man vill ha vid och vid , men inte hur detta fås genom för
Hej!
Texten du citerar är felaktig! Det gäller inte att g(b)=f(a), utan snarare att g(b)=f(2b-a).
Albiki skrev:Hej!
Texten du citerar är felaktig! Det gäller inte att g(b)=f(a), utan snarare att g(b)=f(2b-a).
Hej! Tack det var det jag misstänkte.
Texten verkar vilja att och att , så det gäller att finna ett samband mellan och som är sådant att och . Det enklast tänkbara är en rät linje som förbinder dessa två punkter.
där lutningen vilket ger
Texten skrev alltså när den egentligen menade .
Kontroll: När är och när är .