4 svar
183 visningar
Bishiba 17 – Fd. Medlem
Postad: 29 nov 2018 16:41 Redigerad: 29 nov 2018 16:41

Fundersam över ekvation. Funderar på vad som är fel

Hej!

Suttit och pluggat och fick frågan:

Funktionen y=ax^2+bx+c har bara ett nollställe. Finn ett samband mellan a, b och c.

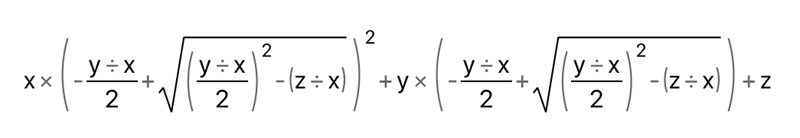
Gällande frågan så vet jag bara att om det bara finns en nollpunkt så måste det betyda att funktionens nollställe är detsamma som funktionens vändpunkt. Dock vet jag inget samband. Men höll på ett bra tag och upptäckte något jag inte riktigt förstår. Tyvärr kommer x bli a, a blir x, b blir y och c blir z.

 

Lösningen på ekvationen blir 0. Är det här något vettigt eller har jag bara missat något viktigt?

Steg nedan:

Photomath

AlvinB 4015
Postad: 29 nov 2018 16:45

Din app har läst av funktionen fel. Funktionen är ju

y=ax2+bx+cy=ax^2+bx+c

och inte

xa2+ya+zxa^2+ya+z (vad det nu betyder..)

Gör istället så här:

Lös ekvationen ax2+bx+c=0ax^2+bx+c=0 med pq-formeln. Då får du fram två lösningar. Kan du se vilket villkor som måste gälla på aa, bb och cc för att dessa två lösningar skall bli samma?

Bishiba 17 – Fd. Medlem
Postad: 29 nov 2018 16:50
AlvinB skrev:

Din app har läst av funktionen fel. Funktionen är ju

y=ax2+bx+cy=ax^2+bx+c

och inte

xa2+ya+zxa^2+ya+z (vad det nu betyder..)

Gör istället så här:

Lös ekvationen ax2+bx+c=0ax^2+bx+c=0 med pq-formeln. Då får du fram två lösningar. Kan du se vilket villkor som måste gälla på aa, bb och cc för att dessa två lösningar skall bli samma?

 Nja, appen kom inte fram med bilderna, de skrev jag. Bild 3 är det enda appen ger lösningen till, vilket är 0.

anledningen till att det står xa^2+ya+z är bara för att det är lätt att klicka på x,y,z medan andra bokstäver kräver någon sekund mer energi. Men det ska vara samma som ax^2+bx+c :)

Jag kör på det du skrev så skriver jag om jag ser något samband :)

Laguna 32187
Postad: 29 nov 2018 16:51

Att det blir 0 när du sätter in rötterna i ekvationen är inte så konstigt, det är ju så de är definierade.

Bishiba 17 – Fd. Medlem
Postad: 29 nov 2018 16:53
Laguna skrev:

Att det blir 0 när du sätter in rötterna i ekvationen är inte så konstigt, det är ju så de är definierade.

 Hm, jo... Jag har haft det på känn. Men ser nog inte varför det blir så ändå. Har nog grävt ner mig för länge eller något...

Svara
Close