fundersam på ekvationen vid slut skede en c uppgift
Första parentesen har jag glömt upphöja med två
Hur är uppgiften formulerad från början?
Jag ska skriva om det här
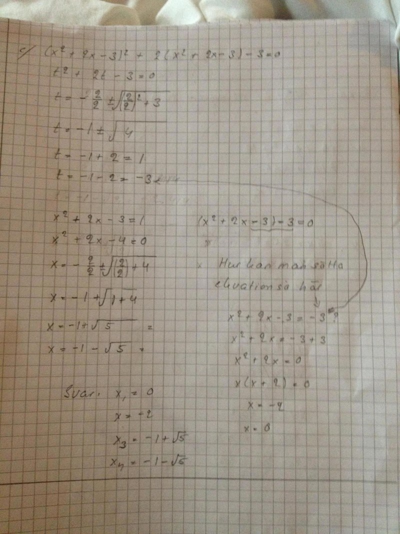
Lös ekvationen
Börja med att multiplicera ihop kvadraten i början och multiplicera in tvåan i den andra parentesen. Förenkla. Sedan får vi se hur det fortsätter.
Nej, man skall nog kvadratkomplettera.
Nej, sätt och lös den andragradsekvationen. Substituera tillbaka och lös ekvationerna.
Den är ju gjord. Nu är det bara sista kvar. Jag skrev den med x, men titta på samma sak fast det står t istället.
Du måste berätta vad det är du gör - skriv att du sätter . Där har du tydligen fått fram lösningarna och .
Sedan substituerar du tydligen tillbaka att , men du har inte skrivit det och inte bytt tillbaka variabeln till x. Du får att och att .
Sedan vet jag inte vad det är du försöker göra. Du borde lösa ekvationen , men du har skrivit något annat.
Nu förstår jag inte, hur du har fått att något är lika med -3.
(x^2+ 2x -3) -3= 0
hur kunde du flytta -3 till andra sidan och få den till -3 på nytt?
Du har fått fram att , eller hur?
Och du har tidigare bestämt att , eller hur?
Du har redan fått fram de båda lösningarna för fallet - då satte du in och beräknade då båda värdena på x.
Nu skall du göra precis samma sak men med . Då skall du alltså sätta in och beräkna båda värdena på x.
Nu tror jag att jag har förstått Dig Magdalena. Du har tagit - 3 en av lösningarna som ska vara andra sidan av likhets tecken.
Tack Magdalena!
Jag var borta ur tankarna ett tag!

