3
svar
111
visningar
Johanna93 behöver inte mer hjälp
Funktion
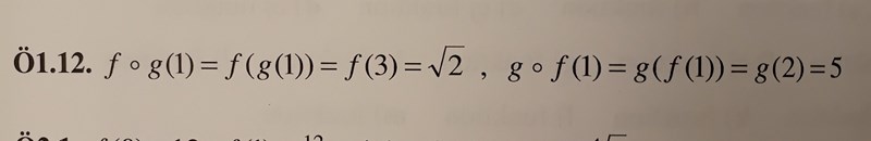
Jag har kommit fram till rätt svar men förstår inte vad facit menar med f(g(1))=f(3) och g(f(1))=g(2)?
Här är uppgiften, min lösning och facit



f(3) är ju också roten ur 2. Och g(2) är också 5. Tror inte det är något mer än så.
Tänk på att cirkeln ska mittemellan f och g, inte upphöjd. Men det var en liten detalj.
Mm men hur har de kommit fram till dem?
Räknar man ut g(1) blir det 3 alltså blir f(g(1))=f(3).