Funktion
Får jag verkligen fram vad dom frågar efter?
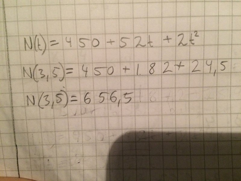
För med uträkningen jag har gjort så har jag fått fram det totala antalet efter 3,5h. Är det vad dom frågar efter eller vill dom veta vad ökningen är vid just det tillfället?
För jag vet inte hur man räknar ut det utan en grafräknare.


Tillväxthastigheten innebär att du ska bestämma .
EDIT: Jag pluggar matte, inte svenska, särskrivningar händer
Moffen skrev:Tillväxthastigheten innebär att du ska bestämma .
EDIT: Jag pluggar matte, inte svenska, särskrivningar händer
Har jag tänkt rätt nu?

Jag förstår vekligen inte det minsta vad det är du sysslar med.
Var har du din derivata? Du kan inte beräkna N'(3,5) om du inte beräknar N'(t) först.
Smaragdalena skrev:Jag förstår vekligen inte det minsta vad det är du sysslar med.
Var har du din derivata? Du kan inte beräkna N'(3,5) om du inte beräknar N'(t) först.
Inte jag heller, det är därför jag behöver hjälp
Så här då?

Förlåt, det är inte meningen att vara så här dum.. Men det är extremt svårt att lära sig ett helt nytt kapitel på en vecka. Speciellt när man lever på 4 olika smärtstillande+högsta dosen morfin man kan få utskrivet. Och har 7 andra prov+inlämningar
Börja med att derivera funktionen med hjälp av deriverings reglerna.
Sätt sedan in värdet t = 3,5 i uttrycket för .
Du har faktiskt deriverat funktionen på tredje raden, men det borde stå där - så egentligen har du räknat rätt, men skrivit fel. (Fast vad du gör på rad 2 kan jag fortfarande inte klura ut.)
Smaragdalena skrev:Börja med att derivera funktionen med hjälp av deriverings reglerna.
Sätt sedan in värdet t = 3,5 i uttrycket för .
Du har faktiskt deriverat funktionen på tredje raden, men det borde stå där - så egentligen har du räknat rätt, men skrivit fel. (Fast vad du gör på rad 2 kan jag fortfarande inte klura ut.)
Vad har jag gjort för fel med N’(t)=4t+52 ?
Om f(x)= kx + m är f’(x)= k eller?
Du gör inget fel med N'(t)=4t+52.
Felet du gjorde (förut) var att du skrev N'(3,5)=4t+52. Det är helt enkelt inte sant.
Smaragdalena skrev:Du gör inget fel med N'(t)=4t+52.
Felet du gjorde (förut) var att du skrev N'(3,5)=4t+52. Det är helt enkelt inte sant.
Har jag gjort rätt i andra bilden jag lade upp?
Första raden är fel - funktionen skall vara
Om funktionen vore så som du har skrivit den, skulle du ha fått en annan derivata.
Sista raden är också fel. Du har redan beräknat N'(3,5) = 66, det skall inte multipliceras med 3,5 en extra gång.
Smaragdalena skrev:Första raden är fel - funktionen skall vara
Om funktionen vore så som du har skrivit den, skulle du ha fått en annan derivata.
Sista raden är också fel. Du har redan beräknat N'(3,5) = 66, det skall inte multipliceras med 3,5 en extra gång.
I en annan tråd där jag lärde mig det här så delade dom upp talet för att enklare kunna förstå. Alltså 2t^2 = 2•2t. Är det fel?
Är svaret N’(3,5) = 66 ? För jag har ju aldrig räknat in 3,5 i talet i så fall?
Hur fick du fram att N'(3,5) = 66 om du inte använde dig av att N'(3,5) = 4*3,5+52?
I en annan tråd där jag lärde mig det här så delade dom upp talet för att enklare kunna förstå. Alltså 2t^2 = 2•2t. Är det fel?
Ja, det är fel. men och detta är endast sant om t=2, inte för alla t.
Har jag förstått det här rätt nu, först deriverar man formeln och sen sätter man in värdet på variabeln för att för att ta reda på hur värdet ökar/minskar vid just den punkten?

Snyggt! Nu gjorde du en korrekt redovisning det ändas som saknas är ett svar på uppgiften.
Den ökar om eller minskar om .
jonis10 skrev:Snyggt! Nu gjorde du en korrekt redovisning det ändas som saknas är ett svar på uppgiften.
Den ökar om eller minskar om .
Tack så mycket! Sakta men säkert så lär man sig till slut.
Tack för att du påminde mig, hade helt glömt bort att skriva ett svar, nu kanske jag tänker extra på det imorgon under provet