Funktionaldeterminanten

rätt svar ska bli 0 (har inge lösningsförslag) men jag gör såhär:


vad har jag beräknat fel här?
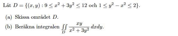
Du säger att det är en bijektion, men det verkar inte så när man tittar i figuren. Varje hyperbel verkar skära varje ellips i fyra punkter.
Men titta på integranden. Vad händer om man byter y mot -y i integranden. Integrationsområdet synes vara symmetriskt kring x-axeln. Slutsats?
PATENTERAMERA skrev:Du säger att det är en bijektion, men det verkar inte så när man tittar i figuren. Varje hyperbel verkar skära varje ellips i fyra punkter.
Men titta på integranden. Vad händer om man byter y mot -y i integranden. Integrationsområdet synes vara symmetriskt kring x-axeln. Slutsats?
jaha, .det är såååå. det e för att de e hela okej,