Funktionalmatris


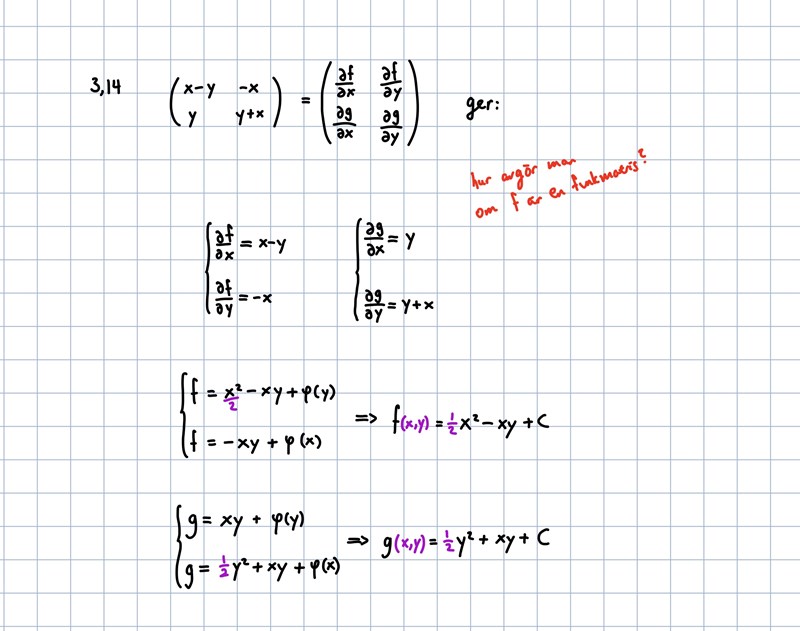
Räknade ut f och g men hur avgör jag om det är en funktionalmatris?
Det är en funktionalmatris om det går att hitta f,g sådana att dess funktionalmatris är den som är given till dig. Du har uppenbarligen hittat två sånna funktioner, alltså är det en jacobi (plz säg jacobi det låter ju coolare)
Qetsiyah skrev:Det är en funktionalmatris om det går att hitta f,g sådana att dess funktionalmatris är den som är given till dig. Du har uppenbarligen hittat två sånna funktioner, alltså är det en jacobi (plz säg jacobi det låter ju coolare)
Tack! Hahaha, okej. Vad konstig frågeställning då, de borde ju frågat efter f och g först och kunde egentligen skippat jacobianen
De ville nog få fram poängen att vilken matris som helst inte kan vara funktionalmatris, och se att du vet hur en sån är uppbyggd.
(Och jacobi är svinfult, vi behöver INTE införa mer svengelska i matteböckerna 😱)
Micimacko skrev:De ville nog få fram poängen att vilken matris som helst inte kan vara funktionalmatris, och se att du vet hur en sån är uppbyggd.
(Och jacobi är svinfult, vi behöver INTE införa mer svengelska i matteböckerna 😱)
Tack, så funktionalmatrisen finns endast om det finns två funktioner som uppfyller de partiella derivatorna i matrisen