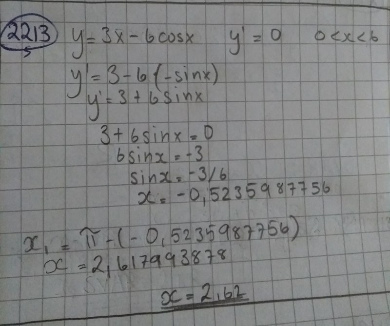
Funktionen y = 3x - 6cosx
Min lösning såg ut som bilden nedan men mitt svar stämmer inte riktigt med facit.

Tack på förhand!
Ser i grunden bra ut, men tänk på två saker:
1) Svara exakt, om möjligt. Gärna som ett bråk multiplicerat med .
2) Tänk på perioden. Det kan finnas fler lösningar inom det efterfrågade intervallet.
På facit står det x= 3.67 och 5,76. Hur kommer jag fram till det?
För det första, de två lösningarna är:
1)
2)
Du har missat att - - blir +. Sen, vilka värden på ger lösningar inom det i frågan angivna intervallet?
Hur får du att bli 2,61? Överslagsräkning ger: pi är ungefär tre: .
Hej!
Derivatan
har ett nollställe när talet uppfyller ekvationen
vilket inträffar när
Enhetscirkeln visar att det finns två vinklar () mellan och radianer som är sådana att det är vinklarna (eller 330 grader) och (eller 210 grader).