1
svar
146
visningar
Funktioner
Visa spoiler
Skriv ditt dolda innehåll här
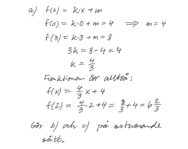
För en funktion gäller att f(0)=4 och f(3)=8
bestäm f(2) och svara exakt om funktionen är
a) f(x)=kx+m
b) f(x)=ax^2
c) f(x)=c•a^x
