Funktioner

Behöver hjälp med 1 a)))
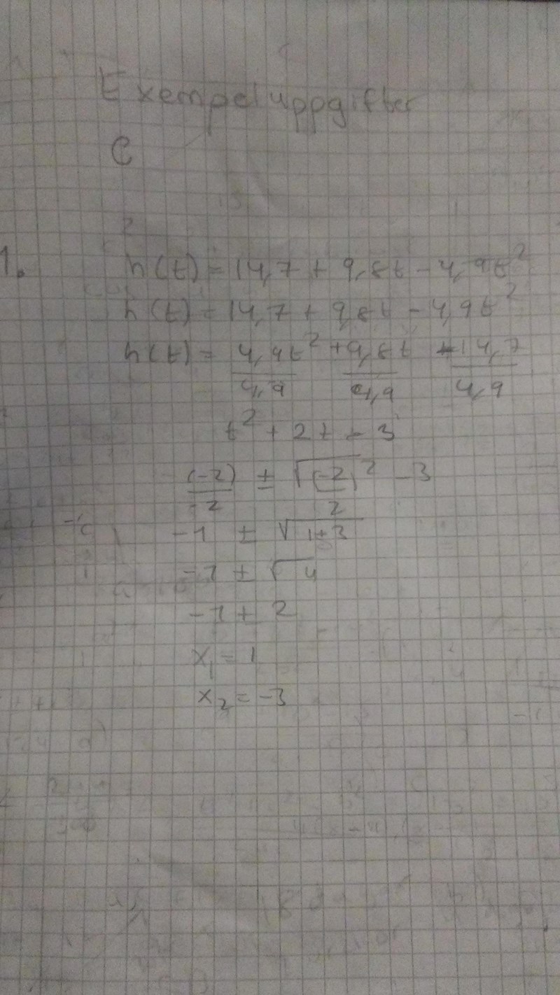
Jag använde mig av pq formeln .Vet ej hur jag ska beräkna höjden kan någon visa mig
Det hur långt tid stenen befinner sig i luften
Du skulle behövt börja med att berätta att du vill lösa ekvationen f(x) = 0. Det du har gjort nu saknar matematisk betydelse (fast jag tror att jag kan gissa vad det är du menar egentligen).
Tyvärr är det fel ekvation du har löst. Om du tittar på ursprungsekvationen, så har konstanttermen och linjärtermen termen samma tecken, men kvadrattermen har motsatt tecken. Ekvationen som du har löst har samma tecken för linjärtermen och kvadrattermen, men motsatt tecken för konstanttermen.
Hur löser jag ekvationen då
Jag försöker förstå vad du förklarat att jag gjort fel men hur ska jag ställa upp ekvationen om jag sätter f(x)=0
