2
svar
72
visningar
kallej behöver inte mer hjälp
Funktioner
.jpg?width=800&upscale=false)

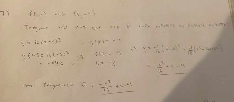
Är detta rätt lösning för frågan ovan?
Det ser helt rätt ut.
Tack för hjälpen!