1
svar
103
visningar
Funktioner av stokastiska variabler
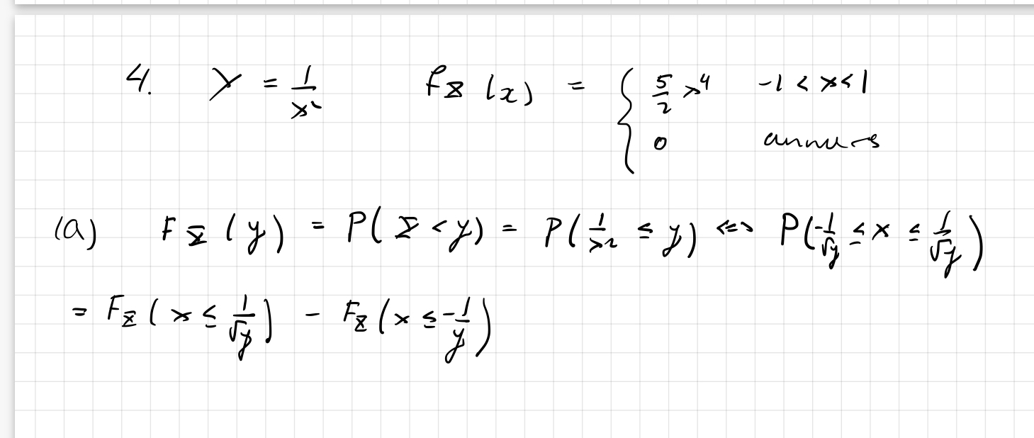
Hej! Jag har fastnat på en sannolikhetslära uppgift:

Nedan är mitt försök till lösning:

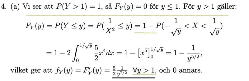
Det jag inte förstår är hur de i facit gör/resonerar det följande (se understrukna):

Jag vet inte om det uppskattas att bifoga bilder i serie men men.
Vänliga hälsningar,
frustrerad student
P(Y<1)=0 => P(Y>1)=1
=> f(y)=0 för y<1