6
svar
163
visningar
Wille2006 behöver inte mer hjälp
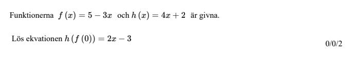
Funktioner Ma1c

Jag har hittills bara skrivit ner alla funktioner och ekvationen på mitt papper men ej löst det. JAg vet inte riktigt var jag ska starta eller vad jag ska tänka på, skulle någon kunna hjälpa mig?
Vad är f(0)?
det måste vara 5 - (3x0) som blir 5
Va blir då h(5)?
h(5)= 22 har jag fått det till
Det stämmer, alltså får vi 22 = 2x - 3. Kommer du vidare där ifrån?
Tack så mycket! Jag fick x=12,5 vilket stämmer in på facit!