Funktionstabell (Diskret matematik)

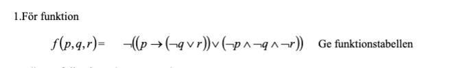
Behöver hjälp med hur man går till väga för att ge en funktionstabell för denna funktion. Vet hur man gör när det är mindre tal men vet inte vilken metod jag ska använda för att lösa denna uppgift.
Mvh Filip
Eftersom funktionen f har tre variabler, finns det olika fall. Gör en jättetabell för alla olika värden på p, q och r. Ta sedan de olika deluttrycken för sig. Vad är ? Börja inuti de olika parenteserna, och arbeta dig utåt. :)
Eventuellt går det fortare om man förenklar uttrycket först. Om jag lyckades rätt i huvudet så blir en rad sann och alla andra falska.

Visa spoiler
Skriv ditt dolda innehåll här
Tack för hjälpen. Tror jag fick till det. Tycker ni det det rätt ut?
Ja det ser rätt ut, men jag hade nog gjort en kolumn till för implikationen, det blir lite svårt att följa när du får fram sista.
har du inte skrivit det fel på p,q,r,? Det bör väl vara;
Du kan ha skrivit det rätt fast bara kastat om ordningen? Det finns ju en enkel metod att skriva de (se ovan) så du får med alla kombinationer så då slipper du tänka och det går fortare! :)
Micimacko skrev:Ja det ser rätt ut, men jag hade nog gjort lite andra/fler kolumner. Det hoppar väldigt många steg till sista svaret.
Ja det håller jag med om. Försökte tänka ut det i huvudet men det hade nog gått snabbare att skriva ut det.